Becca Monaghan
Aug 12, 2022
American men's penises are only the 59th biggest in the world
New York Post
Scientists have discovered a significant correlation between nose and penis size.
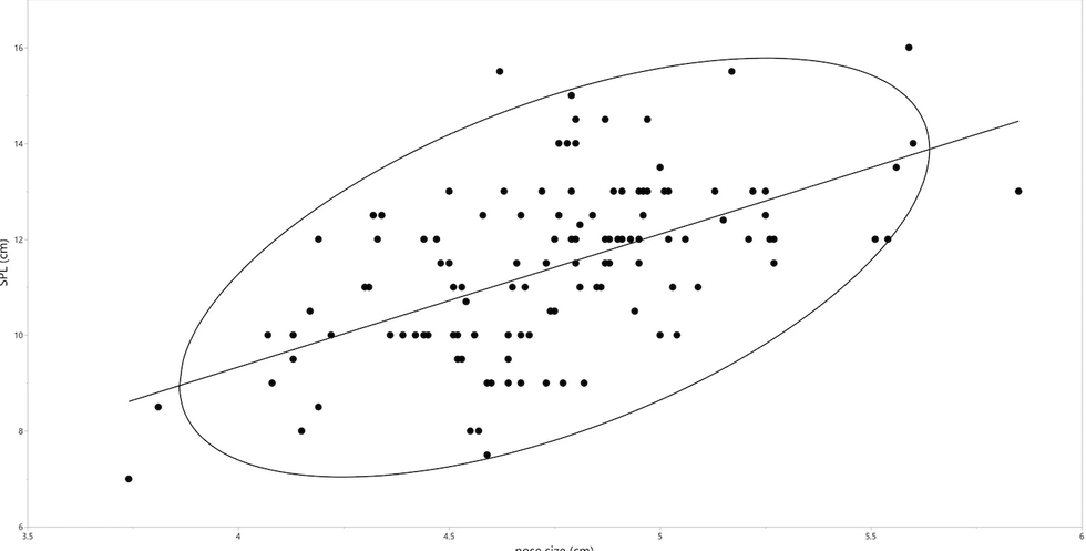
Published in Basic and Clinical Andrology, researchers at the Kyoto Prefectural University of Medicine examined the manhood of 126 male corpses between the ages of 30 and 50. The research was conducted within three days of their death to prevent decomposition.
They acknowledged various factors such as height, weight and, of course, measurements of the penis.
Of course, it's impossible to measure the erect penis size of someone who has passed. Instead, one researcher drew the short straw and used a "stretched penile length" (SPL) method, where they manually stretched the penis to measure what it would have been when the person was alive.
A luckier researcher simply had to measure the length of their noses.
Sign up to our free Indy100 weekly newsletter

In doing so, they found that men with larger noses had a "stretched penile length" of approximately 5.3 inches. Meanwhile, men with smaller noses had a penis length of 4.1 inches erect.
The study concluded: "The fact that nose size is related to SPL indicates that penile length may not be determined by age, height or body weight but has already been determined by birth."
With more in-depth research, the study could become helpful. As it stands, it doesn't change much in terms of helping forensics.

They said: "Although our results are useless for forensic purposes, understanding the growing process of the penis or facial features may be very important for extrapolating foetal androgen levels and following male genital functions."
"This study is the first to demonstrate the relationship between SPL and nose size but is limited in Japanese male cadavers, and the reason why SPL and nose size are related is still unclear. Therefore, we consider it an interesting subject to pursue from now on."
Have your say in our news democracy. Click the upvote icon at the top of the page to help raise this article through the indy100 rankings.
Top 100
The Conversation (0)














